滚球app 省评释厅公示!两千余名师生拟获奖
发布日期:2026-04-03 03:55 点击次数:82

近日,省评释厅公示第八届粤港澳大湾区学校打看成品展暨第十届广东省高校打看成品学院奖双年展拟获奖名单。
![]()
点击著作底部“阅读原文”搜检原公示
凭证《广东省评释厅对于举办第八届粤港澳大湾区学校打看成品展暨第十届广东省高校打看成品学院奖双年展的奉告》条目,省评释厅组织众人评审,大发确定第八届粤港澳大湾区学校打看成品展暨第十届广东省高校打看成品学院奖双年展拟获奖名单。现对名单进行公示,滚球(中国)官网app公示技艺为2026年2月12日至2026年2月25日。
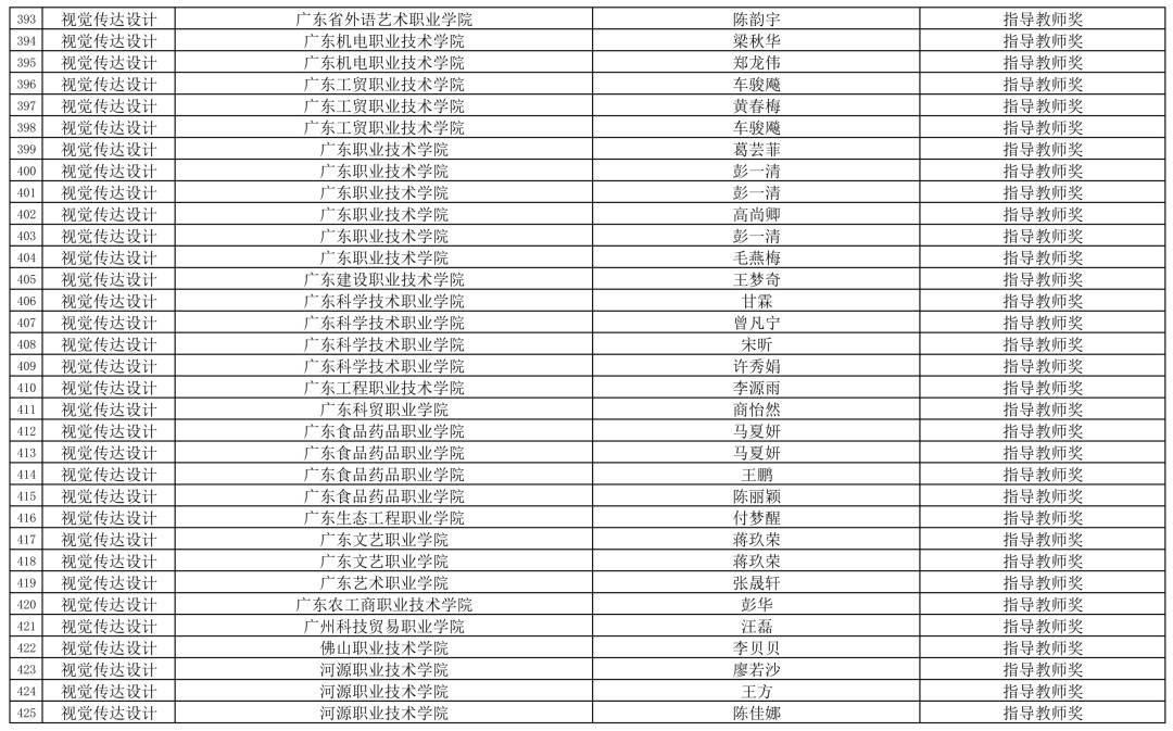
拟获奖名单中,熏陶组402件、学生组1926件、优秀携带熏陶572件、优秀组织奖14个。沿途来看笃定——
熏陶组
![]()
![]()
![]()
![]()
![]()
![]()
![]()
![]()
![]()
![]()
![]()
学生组
![]()
![]()
![]()
![]()
![]()
![]()
![]()
![]()
![]()
![]()
![]()
![]()
![]()
![]()
![]()
![]()
![]()
![]()
![]()
![]()
![]()
![]()
![]()
![]()
![]()
![]()
![]()
![]()
![]()
![]()
![]()
![]()
![]()
![]()
![]()
![]()
![]()
![]()
![]()
![]()
![]()
![]()
![]()
![]()
![]()
![]()
携带熏陶奖
![]()
![]()
![]()
![]()
![]()
![]()
![]()
![]()
![]()
![]()
![]()
![]()
![]()
![]()
![]()
![]()
![]()
![]()
优秀组织奖
![]()
*有什么念念说的,快来给小媒君留言*
剪辑:佘旭寅
开端:广东评释传媒详尽广东省评释厅
转载时请表明转自广东评释传媒滚球app,投稿或买卖妥洽报告要道词 投稿/妥洽
开云app官方下载